分散染料荧光染料溶剂染料中间体保健品
L-谷氨酰胺.α酮戊二酸
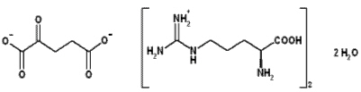
产品名称:L-谷氨酰胺.α酮戊二酸

系列: 保健品

化学名称: L-谷氨酰胺.α酮戊二酸
英文名称: L-Glutamine-α-ketoglutarate
分子式: C10H16N2O8
分子量: 292.14
结构式: 香港全年最全免费资料大全
理化性质: 本品为白色或类白色粉末,几乎无味,易溶于水。
包装: 25公斤/桶(箱),可以根据客户的需要进行包装。
返回主目录
香港全年最全免费资料大全 版权所有(C)2023 网络支持 化工网 全球化工网 生意宝 著作权声明 苏ICP备09005667号