首页
产品&服务
分散染料
荧光染料
溶剂染料
中间体
保健品
关于恒盛
企业简介
企业展示
企业荣誉
新闻中心
加入我们
联系我们
EN
分散染料
荧光染料
溶剂染料
中间体
保健品
α-酮戊二酸
产品名称:α-酮戊二酸
系列: 保健品
化学名称:
2-氧代-1,5戊二酸
;
别名:α-酮基戊二酸,ALPHA-酮戊二酸
CAS NO:
328-50-7
分子式:
C
5
H
6
O
5
分子量:
146.1
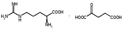
结构式:
理化性质:
本品为白色或类白色结晶或结晶性粉末,无色,易溶于水。
主要质量指标:
外观:白色结晶
透光率: ≥97.0%
含量:99.0-101.0%
熔点:113-117°C
相关物质(TLC):≤0.5%
包装:
25公斤/箱(桶),可以根据客户的需要进行包装。
【
返回主目录
】
上一个: 大红色基LG
下一个:L-精氨酸-a-酮戊二酸
首页
简介
产品
联系